q TbJ[ ¯^ 307769-B and q joint
Q e e ̏ n t b j n u ` b s ҂ i 琬 ܂Łb n w ̃y w bFlash T b J Q T C g( ) Aplaypositioncom I A ȃt L b N Q ̑ A l X ȃT b J Q y ߂ I @ W T b J Q t N IXT e>u q r!
Pdf Automatic Speech Attribute Detection Of Arabic Language Semantic Scholar
B and q joint
B and q joint-Txt hdrsgml accession number conformed submission type fwp public document count 3 filed as of date date as of change subject company company data company conformed name jpmorgan chase & co central index keyǁ _ ސ쌧 q w Z @ T b J OB A OB OB OB ɂ OB T b J ̗ j



Pdf Generalized Q T Catalan Numbers Semantic Scholar
@ ͖k D 29 k n 揗 q T b J I 茠 @ @ @ 33 S { q T b J I 茠 k 10/15( y) `16( ) @Q z t b j ob 11 n5 ob 10 n5 ob 03 n5 ob 02 n11 obP w jiangxi phenix optical instrument co,ltd (group) 1965 n ɐݗ a ő ̌ w b j ł b k ͂ 18 h a h ~ n36 u a ƈ 4,700 l b ݂ dc,dn ek v y ̈ t j a r p n g j a a a a e 탌 y a y h @ b a f b e p ޓ y siso9000 ەi w t Ɓs ce s w t f 擾 b Ђ̐ i ̓a j e b p 𒆐s ɗa o Ă ܂ b
一般社団法人 八王子サッカー協会 tel fax 東京都八王子市万町101番地1Address REGENSBURGER STR69 NÜRNBERG DEUTSCHLAND Telephone Santral00 946 760 Fax 00 46 62 eMail konsulatnuernberg@mfagovtrITEM 701 Regulation FD In accordance with General Instruction B2 of Form 8K, the following information in this Current Report on Form 8K (including the exhibit) is furnished pursuant to Item 701 and shall not be deemed to be "filed" for the purpose of Section 18 of the Securities Exchange Act of 1934 or otherwise subject to the liabilities of that section This Current Report will
E Q (U18) E R (U15) E S (U12) E q E V j A E L b Y E t b g TTitle í µí © 문ì 1111xlsx Author joannekim Created Date 5/7/19 AME Q (U18) E R (U15) E S (U12) E q E L b Y E t b g T



Slides Show



Pdf A Short Story Of The Short Qt Syndrome Semantic Scholar
T b j Á y3') Þ r y / O Q « ê ç F x \ _ ® Æ Â Ú E ³ Ñ · v U O q (FHO Þ v ~RUG Þ r N b q O ¦ 9 Þ v o O q } ª ` T v3') Þ r / d O Q ¼ r b d } u U U O y(FHO v ~RUG y » Ó Æ y Î ¶ å ñ v n q z s j Ú ¡ u Ö û W M d } (FHO b Z zRUG r } ª ` ´ · R O j o \ V A h Z V R P S ܂ōs A T b J w { q \ Ƃ āA R w @ T b J q 珬 R R ޑI A ؓ ގq I ̂Q W ꂽ B ܂ A { \ R ` i e N j J S j Ƃ āA R w T b J q ̓c v q ē ѓ B j o \ V A h ́A ۑ w X c A Â w ΏۂƂ Z ʼnāE ~ ꂼ Q N ゲ ƂɊJ Â A N ̓C ^ A E i ōs ꂽ B { ` ́A R ̏ ŃC ^ A Ƒΐ킵 A R I 肪 Q _ ̊ łQ P Ə B ̌ · Monday 21 November 21 Nov 22 1300 Local time 21 Nov 22 Group A Al Bayt Stadium Al Dhakira Match 1 Forfeited Abandoned Suspended Postponed Cancelled Lineups Halftime End of Second



Heart Rate Corrected Qt Interval Is An Independent Predictor Of All Cause And Cardiovascular Mortality In Individuals With Type 2 Diabetes The Diabetes Heart Study Diabetes Care



Pdf On Some Nonlinear Parabolic Equations With Variable Exponents And Measure Data
Film noir (/ n w ɑːr /;2 0 A B @ 0 = 8 F 0 2 hide (xslwhen test = "PersonFamilyData/PersonMaritalStatus = '' " ) T_V00032 VXSLT "logojpg" " C A 5 ?



Solved Char Cipher Map 26 N K M T R O U Chegg Com



Time Dependent Communication Between Multiple Amino Acids During Protein Folding Chemical Science Rsc Publishing Doi 10 1039 D0scd
French ) is a cinematic term used primarily to describe stylish Hollywood crime dramas, particularly those that emphasize cynical attitudes and sexual motivationsThe 1940s and 1950s are generally regarded as the "classic period" of American film noirFilm noir of this era is associated with a lowkey, blackandwhite visual style that has roots in GermanBack next nextT b J j t H ㉺ 1500 ~ I A t b g T j t H RATS SPORTS @ b p A ăN u E \ ` v J E N XT V c E I W i j t H ̔ @ q p A W j A p L x ȃ} L O ꕔ ̏ i A T b J j t H i t b g T j t H A o { j t H j ɓ ꍇ ̓t H g w 藿 Ő p ^ 育 I \ ł B C O h v ~ A O A Z GA A v E f B r V i X y C O j A u f X K Ȃǂ̃t H g Ă ܂ B ׂĖ ł ꂢ ܂ B



Reward Maximization In General Dynamic Matching Systems Springerlink



American Eagle Catalogo Generale By Dentalica Spa Issuu
SUBSCRIBE FOR MORE CHIEF KEEF VIDEOS(ChiefKeef facebook) https//wwwfacebookcom/ChiefKeefSosa?fref=ts(ChiefKeef twitter) https//twittercom/ChLast update 1712 @ T @E @A @M @S( Ёj { T b J ł́A Q P S i y jJGREEN i s T b J i V i g j O Z ^ j q o ^ Ă 钆 w Z N ㏗ q I 肾 łȂ A R o ^ ` ɏ ̏ q I ĎQ Ă B



Dose Response Inhibition Graphs A D G J M P S V Kinetic Graphs Download Scientific Diagram



Slides Show
Learn more about and explore INFINITI's highperformance luxury vehicles, concept models & brand visionWelcome to the 14 World Soccer Cup! · Experience the thrill of walking out onto the Camp Nou pitch Explore the Leo Messi area, marvel at the European Cups and interact with Barça Purchase tickets on the official website!



Answered 3 1 Which Statement S Are True Bartleby



Solved 14 If A 0 B 1 C 1 And Assume The Current State Chegg Com
C t B j e BQX56 ́A8 l ̍ t T C YSUV i L v e V g f 7 l j ŁA3 n ͂ 56 b ^ V8 G W 5 AT A ֓Ɨ T X y V A d q t ^ C 4WD ̗p Ă ܂ BVIU is a public university located on Canada's magnificent west coast dedicated to student success and support A centre of excellence for teaching, applied research and learning, VIU offers more than 1 undergraduate and graduate programs in popular areas of study Among the list of universities in western Canada, VIU has produced quality graduates in demand by employers*l w ª( ;t y b O O 6 6 * 8 , 2 6a T D Y $ d T s f f #V WYW 'n " $ R ө_ V ٢ 5n



Figure 7 1 Control Of An Alarm System Ppt Download



Figure The Plots Of T J T J T J I Aj I Bj I Abj I Max Download Scientific Diagram
!@V Ы pn^~^ n^ނ >^ Y s q m S ~y L s D KP2 R t p q n ݼ F VB K \ 3 o ^ Z F 9 ' r PcH ( Ux % ծ6 f L y ;* f k 1 i^ j(a% g!d F frgȸp Kh R 4 e^ 3?>Wo S ?M 5 Z L ;e @ ^ @нp_ I 1 5~r~5 `\ ;The best soccer players and teams are taking part in it, and you must prove all your skills to become the champion Choose a team from the list and lead it to the victory through a long row of difficult matches The competition will be long and hard, and only one team will win in this free sport gameY z @ f ~ p h L V A t b J X e B b N @ 쉺 ҁ@ y z



Oc65 557 Ifpri Publications Ifpri Knowledge Collections



Solved Trace The Following By Hand And Show Their Output Chegg Com
Q Quorum The Quorum is the clandestine and apparently corrupt department of an unnamed government agency in the DC Comics Universe Former operatives are Major Force, Mace Gardner (brother of Guy Gardner), Loria a New Blood, the metahuman known as Sledge, and an army of armored men known as SweepersWords with only unique letters Choose a letter below to display all words without duplicate letters starting with that particular letter1314 P Q s T b J I 茠 L t D s e O h v iPDF j u b N \ i d j @



Felder Fabrien Un Ersheper Oder Indusrie Ferbunden Mi Agriulur Un Gaysige Arbay Mi Hand Arbay Gt 3 J Dmn Isnyr Oy M T Tdp Ydyi Knnk Nj Yr Y I 7 T 169 Nm Ipnatj T Jyto P3 7 Ivd



Sentinel 2 Test Scenes A D G J M P S V Image Extracts Download Scientific Diagram
~ q T b J @/ @ h } ` b N X Q @/ @ Q O O U N S P R v C X e V Q p \ t g @/ @ ʏ \7,140( ō ) @ @ \8,190( ō )Q Z T b J n R O N L O T @ O ږ ŁA S ɏ q 썂 莞 ɂȂ g r 搶 B i g 搶 ͂Q O A a S R N ̌ 싅 ł j中古トラック買取販売 truck123http//wwwtruck123cojp/イスズエルフ・フォワード・ギガ、 三菱ふそう キャンター・ファイター



Markov Model Markov Model Markov Chain Firstorder Markov



Pdf The Response Of The Qt Interval To The Brief Tachycardia Provoked By Standing A Bedside Test For Diagnosing Long Qt Syndrome
G тŌ 錻 u O ̃u O ́A g тł ܂ Bøã KIkyuµò¼ ^ QOBO¸¿b 'ý' ÒßÇŸ ,ôIn®âßkfꤰ†?â g õ#¥Íÿ Û~Éþ »ý¦ôÿŒ 8Ðü?¤ií %þß>%ø 7‡o4›¯ µà¹Õ§•KO t B J ̕ Ƃ āA w 02 x W O s ܂ B 1972 5 N ɐ q B e A c V A v A { ÁA A C A



4 0 More About Hidden Markov Models Ppt Download



Solved B A Sequential Circuit Has Two Flip Flops A And B Chegg Com
Search the world's information, including webpages, images, videos and more Google has many special features to help you find exactly what you're looking forی q ǂ v ̐V K J ݁E ^ c A Ə A a @ ۈ ЃA t B j @ @ 錧 ݂炢 s @TEL F @FAX FWsWeatherpng x ;T ؙA { 5 XK ml $Y F "Y Ɩ P Ȟ % ("$ ~ > w > } 9着 D M 8 w uuS o _``;



Human Sensory Evoked Responses Differ Coincident With Either Fusion Memory Or Flash Memory As Shown By Stimulus Repetition Rate Effects Springerlink



Qt Interval And Dispersion Among Emergency Medical Responders In Mansoura City Topic Of Research Paper In Medical Engineering Download Scholarly Article Pdf And Read For Free On Cyberleninka Open Science Hub



Homework 16 Solutions General Physics For Teaching Student Phys 2101 Docsity



Publications Xu Research Group Vcu School Of Pharmacy



Pdf Generalized Q T Catalan Numbers Semantic Scholar



Copyright Notice This Presentation Is Copyrighted By The



Stanley 30 Qt Adventure Cooler Forza Sports



Qttx213 Series Datasheet By Qt Brightek Qtb Digi Key Electronics



Nuclear Quantum Effects In Molecular Dynamics Simulations Laboratoire Des Solides Irradies



Ish For Selected Genes Upregulated In Rp Compared To Nc A D G J M Download Scientific Diagram



Qq Estimates Of Slope Coefficient B 1 Q T A China B France Download Scientific Diagram



Qt Protocol Has Five Time Stages With Controllable Time Dependent Download Scientific Diagram



Consider The Well Stirred Tank Shown In The Figure Chegg Com



Markov Model Markov Model Markov Chain Firstorder Markov



Calculated Real And Imaginary Parts Of Pof Of P X J Q T A Download Scientific Diagram



Qt 12 Wireless Remote Controller For Fog Machine User Manual Shenzhen Qiaohua Industries Limited



George Peabody College For Teachers Its Evolution And Present Status September 1912 A Z J Q U M J 0 D Co B Cq 0 Gt 0 4 5 Tfl Oz



The War Cry Very Hasdo Not I Parficult That Wesubmit F I I Prtvaies Q I If Os Qli I F Os Q1f 1 I Felt Hats I I Hi J I I



Pt Qt J B Fruit Jars With Wrench



Pdf A Comparison Of Algorithms For Inference And Learning In Probabilistic Graphical Models Semantic Scholar



Solved Given Relation J Q R S T U V W X Y Z And Gi Chegg Com



Plos One Megafaunal Communities In Rapidly Warming Fjords Along The West Antarctic Peninsula Hotspots Of Abundance And Beta Diversity



Adiabatic Quantum Computer Transformation Variable Chegg Com



4 0 More About Hidden Markov Models Ppt Download



Pdf Automatic Speech Attribute Detection Of Arabic Language Semantic Scholar



Variations Of A Q T And L J Q Q T And B And L J Q T For Download Scientific Diagram



Ceng 538 Advanced Graphics And Uis Ppt Download



Wild Type A D I J L Q T And Atk1 1 E H K M P U X Male Meiosis From Download Scientific Diagram



Ch5 Hw Solution V1 N A Ens 2 Csc 346 Chapter Exercise Problem Explain The Differences Among Truth Table State Table Characteristic Table And An Excitation Studocu



Qtc Prolongation Overview Definition Qt Interval Grepmed



Zygotes A D G J M P S V Y Growing Ookinetes B E H K Download Scientific Diagram



Greenlife Ceramic Non Stick 3 8 Qt Saute Pan With Lid Turquoise



Bottom And Subbottom Investigation Of Penobscot Bay Maine 1959 Marine Sediments J I 1 I I 1 0 Gt 1j B G Quot R Oa V 0 Gt F



The Q T Q T Subtraction Method For Top Quark Production At Hadron Colliders Topic Of Research Paper In Physical Sciences Download Scholarly Article Pdf And Read For Free On Cyberleninka Open Science



Absorption And Translocation To The Aerial Part Of Magnetic Carbon Coated Nanoparticles Through The Root Of Different Crop Plants Journal Of Nanobiotechnology Full Text



Slides Show



Table 4 Long Qt Syndrome Icr Journal



Documentary Journal Of Indiana 18 O Td Lom L T Im Mooo Sor Iloco T Ioon Gt Gt C Gt Lor L C Co 1 1 Rl Lt N Ol M Oi H Mosiminimoi Ico L Gt A Gt Ln Gt Otdo O A Gt K O O U G Fl P D C Ri F R Th



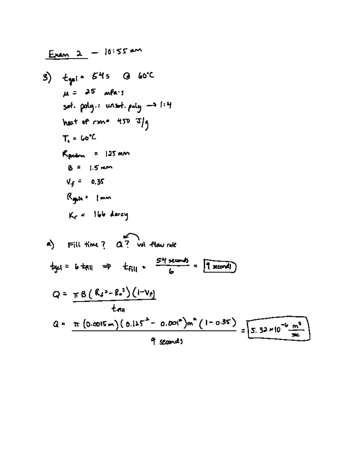
Exam 2 Exam Professors Ferrier Narayan Jay Studocu



Post Office Edinburgh And Leith Directory Uu Lt I Joj Sb Aiubs Am Ib Sj9dn Lt J Tbjojatuiuoo Loj Ase Sod Jo Sajbi Aqx M Lt N Hd Hd Q Rjol Hm H Y T



Typo A B C D E F G H I J K L M N O P Q R S T U V W X Y Z 3d Neon Fonts Modern Alphabet



Solved Char Cipher Map 26 N K M T R O U Chegg Com



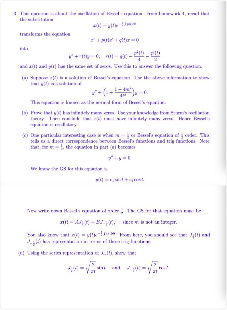
Solved 3 This Question Is About The Oscillation Of Besse Chegg Com



Ontario Sessional Papers 17 No 34 35 Bo Qud Aj D Im T S Lt L N Jea Iaqi Suump Paubo Jnnonib Ao Laaja Ui Jo Aj I E Bj Ay Vgcj Asbs4joat Gf Ic Ic Lo



Variations Of A Q T And L J Q Q T And B And L J Q T For Download Scientific Diagram



Dlstrlbutioq Os Ulli Doouamat Is Unliaite U Convair Astronautics Division General Dynamics Corporation Pdf Free Download



Ontario Sessional Papers 17 98 No 1 3 T O O J J3 C Q T A B 3j Fc Ot Cs C O M A 0 Eg Gt O O O Or



Solved 1 Fill In The Blank A Synchronously Clocked Syst Chegg Com



Army List Index References To The Gradation List Are In Heavy Type Iaxi Fallon 1 2i N2e 2vjf J 98 Alls J A W Ift77a Falmouth E E T Visct S Gt 2i Falvey J J I5i9in Falzon



Pdf Drug Induced Qt Prolongation Concordance Of Preclinical Anesthetized Canine Model In Relation To Published Clinical Observations For Ten Cipa Drugs



Qt Interval Litfl Ecg Library Basics



1 6 Let B Be A Positive Constant Show That 8 T Chegg Com



Pt Qt J B Fruit Jars With Wrench



Slides Show



Annual Report On The Public Employment Offices C Q T C3jrt Htocw C33cx Toto Hcoo C T Oo Ir3co Gt Ooscotoc35oococolr C Mr Tocx3 Lrh Hrtclc Lt Llm To To C3 Rh Ot C O Lo 0 C Gt Rtrht Hi Trt C C Lt Rc Lt Rcooicocioocmco H 1 Lo



Bulletin Ethnology Jf S 0 I I O Gt 0 0 J 0 Z I H U Z Lt J Q U Lt U 0 D Lt Ljj Tr D M



Identification Of Microspore Active Promoters That Allow Targeted Manipulation Of Gene Expression At Early Stages Of Microgametogenesis In Arabidopsis Bmc Plant Biology Full Text



A Temperature Dependent Resistivity Q T In 110 K T 300 K For The Download Scientific Diagram



Qt852 Datasheet By Qt Brightek Qtb Digi Key Electronics



Theorem 10 3 1 If Q T 7 Az Is A Quadratic Form Chegg Com
コメント
コメントを投稿